当地时间3月24日晚,欧洲核子研究中心(CERN)在第59届“国际电弱相互作用和统一理论会议”上宣布,大型强子对撞机底夸克实验(LHCb)合作组首次在重子衰变中观测到电荷共轭-宇称联合变换对称性破坏(简称CP破坏)现象,为揭示宇宙中正反物质不对称之谜提供了关键线索,被视为人类探索宇宙起源历程中一座新的里程碑。中国LHCb实验团队作出突出贡献,华中师范大学粒子物理团队深度参与并发挥重要作用。
138亿年前的大爆炸本应产生等量的正物质与反物质,但如今的可观测宇宙几乎完全由正物质主导。这一谜题的核心,可能在于正反粒子行为的细微差异——即CP对称性破坏。自1956年宇称不守恒理论颠覆传统认知后,科学家于1964年首次在含奇异夸克的介子衰变中观测到CP破坏,相关发现者斩获诺贝尔物理学奖。此后数十年间,对含底夸克、粲夸克的介子体系的研究也相继验证了这一现象。然而,由三个夸克组成的重子(如质子、中子)作为构成宇宙可见物质主要成分的基本单元,其CP破坏却始终未被捕获。探寻重子系统中的CP破坏成为粒子物理学领域一个悬而未决的难题。
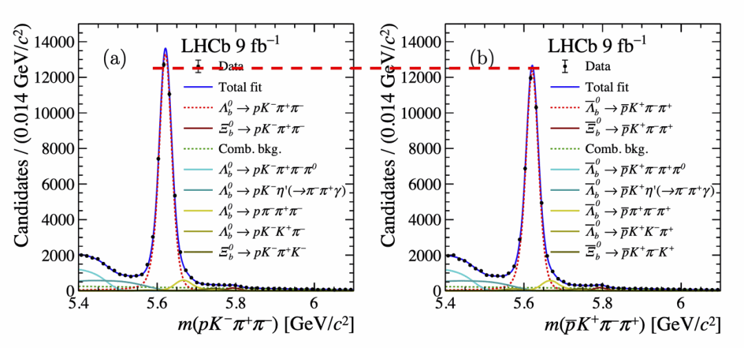
中国LHCb实验团队与合作者利用LHCb实验数据,在多个重子衰变过程中寻找CP破坏现象。通过多路径交叉验证和多单位协同攻关,最终在底重子到质子、奇异介子和正反π介子的四体衰变过程中,发现正反底重子的衰变率存在超过5倍标准差的显著差异(如下图所示),标志着首次在重子衰变中观测到 CP 破坏现象。这一发现填补了粒子物理学长达60余年得空白,为精确检验粒子物理标准模型的三代夸克混合机制、理解宇宙中正反物质不对称性起源提供了关键线索。
此前,中国联合团队在底重子衰变到超子和奇异介子对的三体衰变中已经观测到重子CP破坏迹象。该成果已于本月12日作为《物理评论快报》编辑推荐和亮点论文在线发表[2];同日,美国物理学会《物理》期刊以“LHCb实验为理解CP破坏疑难提供了关键信息”同步报道。

LHCb实验观测到(左)底重子和(右)反底重子衰变的产额显著不同,从而首次在重子衰变中发现CP破坏。
LHCb国际合作组由来自24个国家的100家研究机构、近1800名科研人员组成。华中师范大学于2013年加入LHCb实验国际合作组,目前有主要成员5人(谢跃红教授、尹航教授、陈凯教授、张冬亮副教授、周晓康副教授),长期专注于重味物理与CP破坏的研究。一方面聚焦B介子CP破坏的高精度测量,取得了Bs介子混合角的世界最精确测量结果、B介子到粲偶素衰变直接CP破坏的首个证据等重要成果;另一方面,自2016年开始,获得基金委项目资助率先开展重子系统CP破坏的探索性研究,近年来与LHCb中国组兄弟单位密切合作,遴选出对CP破坏具有高灵敏度的一系列底重子衰变模式,开展有组织的协同攻关。谢跃红教授指导学生和博士后作为核心成员参加了底重子的多个主要衰变过程的研究,在研究规划制订、数据分析和论文撰写等方面都做出了直接的重要贡献。
此次最终发现重子衰变中的CP破坏,不仅验证了粒子物理标准模型的理论预言,更为探索超越标准模型的新物理现象开辟了崭新的路径。重子CP破坏现象可能携带表征宇宙早期正反物质不同行为的独特“密钥”,或将成为寻究新物理的黄金探针。随着大科学装置迭代升级、前沿技术集中涌现、实验性能日益提升,物理学家有望在更高的精度下解析CP破坏机制,重构138亿年前宇宙诞生的决定性瞬间,持续突破人类认知边界,早日揭开宇宙中正反物质不对称之谜。
LHCb实验论文预印本:
https://arxiv.org/abs/2503.16954
LHCb新闻报道:https://lhcb-outreach.web.cern.ch/2025/03/25/observation-of-the-different-behaviour-of-baryonic-matter-and-antimatter/
CERN新闻报道:https://home.cern/news/pressrelease/physics/new-piece-matter-antimatter-puzzle
END
华大物院党委融媒体中心
华大物院团委宣传中心
通讯员|王 棣
责 编|吴小怡
审 校|王 东