
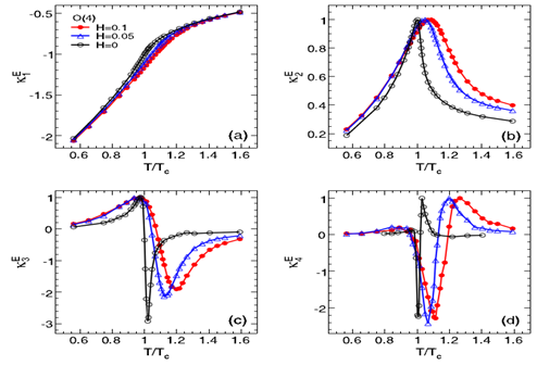
考虑到不同情况下的量子色动力学相变属于不同的普适类,我们在有外场和无外场的条件下,分别对三维O(1),O(2),O(4)三种自旋模型进行了蒙特卡罗模拟。我们给出了O(1)自旋模型中序参量和能量的高阶矩,以及O(2)和O(4)自旋模型中能量的高阶矩。我们发现外场对能量的高阶矩定性行为没有影响,但是有外场和无外场情况下序参量的行为会受到影响。这些高阶矩都会出现非单调行为或者符号的改变。并且我们在这些自旋模型中看到的高阶矩定性行为在量子色动力学的有效势模型中也看到了。 O(1)自旋模型中序参量的高阶矩对量子色动力学中临界区域的重子数起伏具有指导意义。而O(4)自旋模型中能量的高阶矩对于手征相变时重子数起伏具有指导意义。论文发表在Nuclear Physics A,2013-913,206-216。

图5:在不同外场情况下三维O(4)自旋模型计算的高阶矩