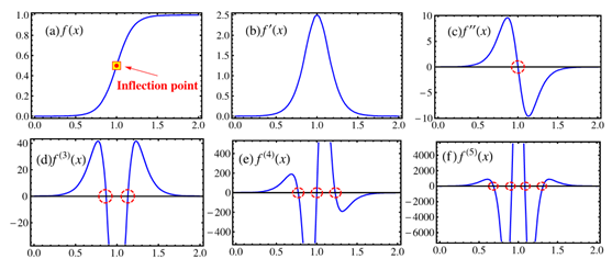
目前相对论重离子碰撞中寻找临界点的比较热门的观察量是高阶矩(high cumulant)。格点计算和一些模型计算都表明,临界点处,重子数的高阶矩会改变符号。我们提出,高阶矩改变符号的行为与拐点的出现是紧密相关的。并演示了拐点导致的高阶导数的振荡行为(见图1)。对于QCD普适类,状态方程中有拐点是临界点的特征。我们用三个属于QCD普适类的物理系统,展示了拐点的特征是可以观察到的。高阶矩有信号特征,在低阶矩应该有所体现。所以,我们建议实验上测量重子数密度的平均值(一阶矩),观察其拐点行为,作为临界点的判据。该工作发表在Nuclear Physics A 927 (2014) 69,审稿人认为这个研究是有趣的。

图:1:函数的拐点及其高阶导数的振荡。(a)有拐点的函数;(b)-(f)函数的各阶导数。一阶导数表现为峰,二阶及更高阶出现振荡。